Constitutional Law 1: Essential SCK & USC Notes

F.Radio 15 views
Constitutional Law 1: Essential SCK & USC Notes

Constitutional Law 1: Essential SCK & USC Notes

Hey there, legal eagles! Welcome to the deep dive into Constitutional Law 1 , a subject that’s fundamental to understanding the very framework of our legal system. If you’re studying at SCK or following the USC curriculum, you’re in the right place. This guide is your friendly companion, offering essential notes and insights to help you navigate this complex and fascinating field. We’ll break down the core concepts, making it easier for you to grasp the principles that govern our society. So, grab your coffee, settle in, and let’s unravel the mysteries of Constitutional Law together! Constitutional Law is more than just memorizing rules; it’s about understanding the balance of power, the protection of rights, and the very essence of what makes a society just. Whether you’re a seasoned law student or just starting out, this exploration will equip you with a solid foundation. This detailed article covers the fundamental principles of Constitutional Law 1, with a focus on areas relevant to SCK and USC curricula. We’ll delve into the structure of government, the powers and limitations, and the rights and freedoms guaranteed to citizens. From the separation of powers to the intricacies of judicial review, this is your one-stop resource for mastering the core concepts. The importance of Constitutional Law cannot be overstated. It shapes our daily lives and ensures that the government operates within defined boundaries. By understanding constitutional principles, you’ll be better equipped to critically analyze legal issues, advocate for justice, and participate in informed discussions about the future of our legal and political systems. This guide will provide you with the essential tools to do just that. We’ll make sure you understand the key concepts and are ready to tackle any legal challenges. The journey through Constitutional Law can be challenging, but with the right approach and resources, you’ll find it both rewarding and enlightening. Understanding the Constitution is key to the functioning of a fair society. Constitutional Law provides the roadmap. Let’s make sure you’re ready to read the map! So, let’s get started on this exciting journey together, making sure you are well-prepared for your exams and future legal endeavors. Let’s get straight to the point and make sure you’re well-equipped to succeed.

The Foundations of Constitutional Law

Alright, let’s lay down some solid groundwork, shall we? Constitutional Law is the bedrock of any legal system, acting as the supreme law of the land. It sets the rules for how the government operates, defines the rights of citizens, and outlines the limits of governmental power. In essence, it’s the blueprint that guides the entire legal and political landscape. When we talk about Constitutional Law, we’re not just dealing with dry legal jargon. We’re talking about the principles that shape our society, protect our freedoms, and ensure that everyone is treated fairly under the law. Understanding these principles is not just a requirement for law students; it’s a vital part of being an informed citizen. We’ll start with the basics, including what a constitution is, its different forms, and the fundamental philosophies that underpin it. A constitution is a set of fundamental principles or established precedents according to which a state or other organization is governed. This can be a single written document or a collection of laws, customs, and conventions. Think of it as the ultimate rulebook for how the country is run. There are several types of constitutions, including written and unwritten constitutions. Written constitutions, like those of the United States and many other countries, are formalized documents that clearly outline the structure and functions of government, as well as the rights of citizens. Unwritten constitutions, like the one in the United Kingdom, are a combination of statutes, judicial decisions, and conventions that have evolved over time. No matter the form, all constitutions serve similar purposes: to establish the framework of government, to allocate power among different branches, and to protect the rights of individuals. Now, let’s dig into some core philosophical underpinnings. One of the most critical principles is the rule of law . This means that everyone, including the government, is subject to and accountable under the law. It ensures that laws are applied equally and consistently, and that no one is above the law. Another key concept is the separation of powers. This is the division of governmental power among different branches—typically the legislative, executive, and judicial branches—to prevent any one branch from becoming too powerful. The separation of powers is complemented by the system of checks and balances, where each branch has the ability to limit the power of the other branches. This prevents tyranny and ensures that the government operates with accountability and transparency. So, remember, Constitutional Law isn’t just about rules; it’s about the principles of fairness, justice, and the protection of rights. With this foundation, you’re now ready to delve deeper into the specific areas covered in your SCK and USC curricula.

Core Concepts: Separation of Powers and Checks and Balances

Let’s get into the nitty-gritty of Constitutional Law , starting with the dynamic duo of governmental organization: the separation of powers and the system of checks and balances. These are not just fancy legal terms; they’re the engine that drives a fair and balanced government. The separation of powers divides the authority of the government into three distinct branches: the legislative, the executive, and the judicial. The legislative branch (like Congress in the U.S.) makes laws. The executive branch (like the President in the U.S.) enforces the laws. The judicial branch (like the Supreme Court in the U.S.) interprets the laws. Each branch has its specific functions and responsibilities, preventing any single entity from wielding excessive power. This division is vital to prevent tyranny and maintain a democratic society. Now, let’s add the spice: checks and balances. This system is all about giving each branch of government the power to limit the actions of the other branches. It’s like a built-in safety net, preventing any one branch from overstepping its boundaries. For example, the legislative branch can pass laws, but the executive branch can veto them. The judicial branch can review laws passed by the legislative branch or actions taken by the executive branch to ensure they are constitutional. The executive branch can appoint judges, but the legislative branch must confirm them. It’s a continuous cycle of oversight and accountability, keeping everyone in check. Understanding these concepts is fundamental to comprehending how the government functions. These systems ensure that no single entity can become too powerful. Without these protections, the system could easily drift into authoritarianism. The separation of powers and checks and balances aren’t just theoretical constructs; they are practical tools designed to protect individual liberties and prevent the abuse of governmental power. They are the backbone of a just and equitable society. These mechanisms are the bedrock of a free society. Constitutional Law, through these concepts, ensures that the government is accountable and transparent, protecting citizens from arbitrary actions. These are crucial components, so keep them in mind as you progress through your studies. Make sure you grasp the details of these systems, as they’re central to the protection of individual rights and the prevention of governmental overreach. They ensure that power is distributed and that no single entity can become too powerful. It’s a system that safeguards individual rights, fosters accountability, and prevents tyranny. That is something that benefits all of us.

The Bill of Rights and Fundamental Freedoms

Alright, let’s shift gears and focus on something really important: The Bill of Rights and Fundamental Freedoms . These aren’t just abstract legal concepts; they are the heart and soul of what protects individual liberties. They’re the safeguards that ensure we can live our lives freely and without undue interference from the government. The Bill of Rights, or similar constitutional provisions in other countries, lays out the fundamental rights and freedoms that every citizen is entitled to. These rights are considered so crucial that they are enshrined in the constitution, making them extremely difficult to change. Think of them as the pillars of a free and just society. Common fundamental rights include freedom of speech, freedom of religion, the right to due process, the right to a fair trial, and protection against unreasonable searches and seizures. Each of these rights is essential for a functioning democracy. Freedom of speech allows us to express our opinions without fear of censorship. Freedom of religion ensures we can practice our faith as we see fit. Due process guarantees fair treatment under the law, and the right to a fair trial safeguards our right to be presumed innocent until proven guilty. Protection against unreasonable searches and seizures ensures our privacy and security. These rights are not absolute; they may be subject to reasonable limitations to protect the rights of others or to maintain public order. However, any limitations must be carefully balanced and justified to avoid infringing on the core freedoms. In Constitutional Law, the courts play a significant role in interpreting and enforcing these rights. They consider the meaning of these rights and how they apply in various situations. They decide when the government’s actions violate them. The courts’ decisions set precedents, shaping how these rights are understood and protected. The Bill of Rights and related provisions don’t just exist on paper; they are actively upheld and applied every day. Understanding them is crucial for every citizen. Constitutional Law is all about ensuring that the rights and freedoms are protected and that the government stays within its boundaries. By understanding the Bill of Rights, we can better defend our freedoms and hold those in power accountable. It’s not just a collection of legal clauses; it’s a testament to our commitment to a free and just society. So, make sure you know your rights, and never be afraid to stand up for them. These rights are not just important; they are fundamental. They are what make a society worth living in.

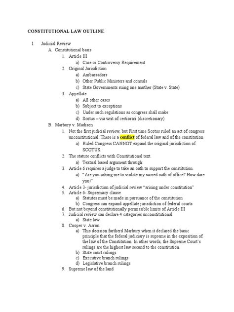
Judicial Review and the Role of the Courts

Let’s get into the inner workings of how the law is interpreted and applied, focusing on judicial review and the vital role of the courts. This is where the rubber meets the road, where constitutional principles are translated into real-world applications. Judicial review is the power of the courts to review the actions of the legislative and executive branches to determine if they are consistent with the constitution. This is a critical check on the other branches of government. It ensures that laws and government actions adhere to the supreme law of the land. It’s the mechanism that safeguards the Constitution from being violated. The role of the courts, especially the Supreme Court, is to interpret the Constitution and apply its principles to specific cases. This means the courts determine the meaning of constitutional provisions, resolve disputes about their application, and ultimately decide if laws or government actions are constitutional or unconstitutional. The courts don’t just follow the law; they also shape it. Through judicial review, the courts can strike down laws or government actions that they deem unconstitutional. This power gives the courts enormous influence in shaping society and protecting individual rights. Court decisions set precedents, which means that future cases with similar facts must be decided in the same way. Over time, these precedents create a body of law that guides how the Constitution is interpreted and applied. The judiciary doesn’t just apply the law; it interprets and evolves it. The courts’ interpretations of the Constitution have evolved over time, reflecting changes in societal values and norms. This has led to expansions and interpretations of rights and freedoms, as well as changes in how the government operates. Understanding judicial review and the role of the courts is critical to understanding how the Constitution actually works. It’s not enough to simply know the rules; you must also understand how they are applied and enforced. The judiciary plays a huge role in the everyday application of constitutional principles. The courts are not just neutral arbiters. They are active participants in shaping the law, and their decisions have a profound impact on our lives. In Constitutional Law, judicial review is one of the most important concepts to master. It ensures that the government is held accountable to the Constitution. The courts ensure that the Constitution is a living document, constantly being interpreted and applied in ways that reflect the changing needs of society. Without the courts and judicial review, our rights and freedoms would be at risk. This is the cornerstone of constitutional governance.

Key Cases and Landmark Decisions

Alright, let’s put some meat on the bones of Constitutional Law by diving into key cases and landmark decisions. These aren’t just abstract legal concepts; they are the real-life examples that illustrate how constitutional principles are applied in practice. By studying these cases, you’ll gain a deeper understanding of the complexities and nuances of constitutional law. Landmark decisions are those that have had a significant and lasting impact on the interpretation of the Constitution. They often set new precedents and shape how constitutional rights and principles are understood and applied. These cases are essential for anyone studying Constitutional Law. They provide concrete examples of how the courts interpret the Constitution and protect individual rights. Studying these cases is like looking at the Constitution in action. For SCK and USC students, it’s essential to understand the leading constitutional cases. Each case provides valuable insights into the principles that govern our society. For instance, studying cases such as Marbury v. Madison is fundamental to understanding judicial review. Marbury v. Madison is the landmark case that established the principle of judicial review. This case is crucial for grasping how the Supreme Court can declare laws unconstitutional. Another case worth investigating is Brown v. Board of Education , which declared state-sponsored segregation in public schools unconstitutional. This case is a prime example of how the courts can shape society and protect civil rights. Remember, these decisions didn’t just happen overnight. They often involved years of legal battles and arguments. They reflect the evolution of constitutional principles. By studying these cases, you can better understand the historical context and the reasoning behind each decision. The study of key cases isn’t just about memorizing facts; it’s about understanding the legal arguments, the reasoning of the courts, and the impact of the decisions on society. So, as you study these landmark decisions, pay attention to the legal arguments, the reasoning of the courts, and the impact of these decisions on society. Each case is a piece of the puzzle, and together, they form a comprehensive picture of how Constitutional Law is applied and enforced. As you go through each case, consider the impact on society and individual rights. Landmark decisions are not just about legal principles; they are about people’s lives. These cases serve as tangible examples of how Constitutional Law works in practice. So, dig in, read the cases, and understand the stories behind them. This is where theory meets reality.

Conclusion: Mastering Constitutional Law

Alright, folks, we’ve covered a lot of ground! We’ve journeyed through the foundational principles of Constitutional Law , explored the intricacies of governmental structure, and looked at how individual rights are protected. Now, as we wrap things up, let’s reflect on how you can best master this complex but essential subject. Remember, Constitutional Law is not just a collection of rules; it’s a dynamic system of principles, rights, and responsibilities. Your goal should be to understand the underlying philosophies and how they apply in various situations. It’s not enough to memorize the rules; you need to understand the reasoning behind them. To truly excel in Constitutional Law, you need to develop a solid understanding of the principles, engage in critical thinking, and build strong analytical skills. This means more than just memorizing facts; it means developing the ability to analyze complex legal issues, think critically about the arguments, and form your own well-reasoned opinions. Here are some tips to help you succeed. First, read the Constitution itself. Get familiar with the actual text. Then, study key cases carefully. Understand the facts, the arguments, and the court’s reasoning. Practice analyzing legal problems. Think through the issues and come up with your own arguments. Also, try to get involved in moot court or debates. Practice arguing your point of view and listening to opposing arguments. Don’t be afraid to ask questions. Reach out to professors or other students to discuss the material. Finally, stay up-to-date on current events. Pay attention to how the Constitution is being applied in contemporary legal and political issues. This will help you stay engaged and enhance your understanding. Remember, consistency is key. Keep up with the readings, review your notes regularly, and participate actively in class discussions. Constitutional Law is a fascinating subject. It touches on many aspects of our lives. By mastering it, you’ll be well-prepared for your future legal endeavors and better equipped to understand and shape the world around you. This journey requires dedication, but the rewards are well worth the effort. Constitutional Law is the cornerstone of justice. Always keep learning and exploring. Now you’re well-equipped to tackle the challenges ahead. Best of luck on your legal journey!