Coordinate Geometry: Points, Lines, And Equations

F.Radio 100 views
Coordinate Geometry: Points, Lines, And Equations

Coordinate Geometry: Unveiling Points, Lines, and Equations

Hey guys! Let’s dive into the fascinating world of coordinate geometry . This branch of mathematics is all about using numbers and equations to describe geometric shapes. We’ll be exploring how to plot points, understand lines, and uncover the relationships between them. In this article, we’ll break down the concepts to make them super easy to grasp. We will discuss pkoordinat a 3 2 b 8 2 secse 1 min 1, which represents an example to understand coordinate geometry. So, grab your pencils and let’s get started!

Understanding the Basics: Points and Coordinates

So, what exactly is coordinate geometry ? At its core, it’s a system for representing geometric figures using numbers. The foundation of this system lies in the concept of points and coordinates . Think of a point as a specific location on a plane, like a dot on a map. To pinpoint the location of a point, we use coordinates . Coordinates are a pair of numbers, usually written as (x, y), that tell us how far to move along two perpendicular lines called the x-axis and the y-axis. The x-coordinate tells us how far to move horizontally (left or right), and the y-coordinate tells us how far to move vertically (up or down). It’s like a treasure map where the coordinates guide you to the exact spot where the treasure is buried. Let’s start with a specific example, the pkoordinat. The initial values, pkoordinat a 3 2 b 8 2 secse 1 min 1, represent specific points and their associated data. In this context, we will consider the example as points and equations. In coordinate geometry , understanding points is a fundamental concept. Points are the building blocks of all geometric shapes. A single point has no size, only location. Points are usually named using capital letters, like A, B, C, etc. The coordinates of a point are written as an ordered pair (x, y), where x is the horizontal distance from the origin (0, 0) and y is the vertical distance from the origin. The origin is the point where the x and y axes intersect. For example, the point A (3, 2) is located 3 units to the right of the origin and 2 units up. The point B (8, 2) is located 8 units to the right of the origin and 2 units up. The coordinate system is like a grid, with each point having a unique address. Understanding how to plot and interpret points is crucial for visualizing and analyzing geometric problems. Also, you’ll often encounter terms like the x-axis and y-axis. These are the two perpendicular lines that form the coordinate plane. The x-axis is horizontal, and the y-axis is vertical. They intersect at a point called the origin, which has coordinates (0, 0). All other points are located relative to the origin. This basic understanding is key, so you can solve more complex equations easily.

Coordinate Systems and Their Significance

Coordinate systems provide a framework to map points, lines, and shapes in a two-dimensional plane or a three-dimensional space. The most common is the Cartesian coordinate system, which employs two perpendicular axes (x and y) to define the position of a point. The origin (0,0) is the intersection of these axes. In coordinate geometry , different coordinate systems exist, each with unique advantages. For example, the polar coordinate system uses distance and angle from a reference point to specify a point’s location. The understanding of different coordinate systems allows for greater flexibility and efficiency in solving geometric problems. The choice of the most suitable coordinate system depends on the nature of the problem, whether it involves distances, angles, or symmetries. With the ability to express geometric concepts numerically, coordinate systems allow us to employ algebraic methods to solve geometric problems. The position of each point is uniquely identified by its coordinates within a coordinate system. A point in a 2D plane is usually represented by (x, y), where x is the horizontal coordinate and y is the vertical coordinate. In 3D space, we have (x, y, z), and z represents the vertical coordinate. The coordinates are like the ‘address’ of a point within the space. Coordinate systems are indispensable for several reasons. Firstly, they help us visualize and represent geometric figures and their relationships. Secondly, they enable us to use algebraic equations to describe geometric properties, making calculations and analysis easier. Thirdly, they provide a standardized way of communicating geometric information. Coordinate systems also facilitate the use of computers in geometry. Computer graphics, simulations, and CAD (Computer-Aided Design) heavily rely on coordinate systems to represent and manipulate geometric shapes. The proper application of coordinate systems is a crucial element of mathematics, physics, and engineering. By understanding and applying coordinate systems, you can move from basic shapes to advanced 3D modeling and analysis.

Lines and Their Equations

Now, let’s talk about lines . In coordinate geometry , a line is a straight path that extends infinitely in both directions. Lines are defined by their slope and their y-intercept. The slope of a line represents how steep it is, and the y-intercept is the point where the line crosses the y-axis. The equation of a line is a mathematical expression that describes the relationship between the x and y coordinates of every point on the line. The general form of a linear equation is y = mx + c, where ’m’ is the slope and ‘c’ is the y-intercept. It’s like a recipe for finding the y-coordinate of any point on the line if you know its x-coordinate. If we’re given two points on a line, we can calculate the slope using the formula: m = (y2 - y1) / (x2 - x1), where (x1, y1) and (x2, y2) are the coordinates of the two points. Once we have the slope, we can use one of the points to find the y-intercept by substituting the values of x, y, and m into the equation y = mx + c. The slope can be positive, negative, zero, or undefined. A positive slope means the line goes upwards from left to right, and a negative slope means it goes downwards. A slope of zero means the line is horizontal, and an undefined slope means the line is vertical. Understanding slopes helps us analyze the direction and steepness of lines. Lines and their equations are fundamental to coordinate geometry , serving as a foundation for understanding more complex geometric concepts. They provide a means to represent linear relationships and solve geometric problems through algebraic methods. Whether dealing with simple line equations or complex systems of linear equations, a solid understanding of this basic element is essential.

The Significance of Linear Equations

Linear equations play a critical role in coordinate geometry by providing a formal method to represent and analyze straight lines on a plane. The general form, y = mx + c, is the cornerstone of many geometrical computations, where ’m’ denotes the slope, and ‘c’ the y-intercept of the line. The slope indicates the steepness and direction of the line. The y-intercept represents where the line crosses the y-axis. Through linear equations, we can find the coordinates of any point on a line if we know the x-coordinate, which lets us solve problems easily. The ability to calculate the slope is crucial. Using the formula m = (y2 - y1) / (x2 - x1), we can determine the slope using the coordinates of two points on the line. This formula is vital in solving several problems, such as finding if two lines are parallel (same slope) or perpendicular (slopes are negative reciprocals). Linear equations also help us in many practical applications such as predicting future trends in data analysis. They enable us to model real-world scenarios in physics, economics, and other fields. The ability to manipulate and solve linear equations is a valuable skill in both mathematics and computer science. Solving a system of linear equations involves finding the point(s) where multiple lines intersect. This can be done graphically, or through algebraic methods like substitution or elimination. Understanding linear equations helps visualize and analyze these interactions. The ability to create and manipulate linear equations is essential for solving geometric problems and understanding real-world relationships. From the basics to complex applications, linear equations are an important element in understanding coordinate geometry.

Advanced Concepts and Applications

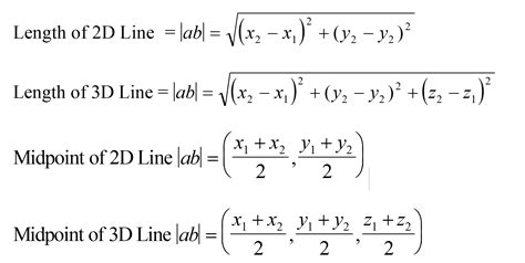
Alright, let’s kick things up a notch and explore some advanced concepts in coordinate geometry . This includes the distance formula, midpoint formula, and the equations of circles, and more. The distance formula helps us calculate the distance between two points on a coordinate plane. It’s derived from the Pythagorean theorem and is expressed as: d = √((x2 - x1)^2 + (y2 - y1)^2), where (x1, y1) and (x2, y2) are the coordinates of the two points. The midpoint formula helps us find the coordinates of the midpoint of a line segment. It’s calculated as: ((x1 + x2)/2, (y1 + y2)/2). These formulas are super helpful for solving a variety of geometric problems. They allow us to calculate lengths, find the center of line segments, and understand the properties of shapes. Next, we delve into the equations of circles, which is another crucial topic. The general form of the equation of a circle with center (h, k) and radius r is: (x - h)^2 + (y - k)^2 = r^2. Understanding this equation allows you to determine the center and radius of a circle, given its equation, or to create an equation given the center and radius. These advanced concepts build upon the fundamental understanding of points, lines, and their equations. They offer the tools to analyze and solve problems about more complex shapes and geometric relationships. Moreover, coordinate geometry is applied in many fields, including computer graphics, engineering, and physics. Coordinate geometry provides the framework for modeling real-world objects in a digital environment. Also, understanding coordinate geometry opens doors to careers in fields such as computer science, architecture, and urban planning. The knowledge of these advanced concepts opens up possibilities for tackling complex problems and building a solid foundation in mathematics. By mastering these tools, you’ll be well-equipped to solve complex problems and apply your knowledge in various fields.

Practical Applications of Coordinate Geometry

Coordinate geometry isn’t just a theoretical concept; it has numerous real-world applications that influence our daily lives in many different ways. From urban planning to computer graphics, and engineering, the principles of coordinate geometry are used constantly. The design and layout of cities heavily rely on coordinate geometry. Architects and urban planners utilize these principles to design buildings, roads, and infrastructure. In computer graphics, coordinate geometry is fundamental. It is used to create and manipulate 2D and 3D images, which are essential for video games, movies, and simulations. Computer-aided design (CAD) software, used extensively in engineering and architecture, relies heavily on coordinate geometry to create detailed models of objects and structures. Navigation systems, like GPS, use coordinate geometry to determine your position and guide you to your destination. The GPS system uses a network of satellites, and the distance from these satellites to a receiver is calculated using coordinate geometry . In physics, coordinate geometry is used to describe motion, forces, and other physical phenomena. The position and movement of objects are often represented using coordinate systems. The principles are useful in many aspects, from cartography to robotics. Understanding the position, motion, and interaction of objects is crucial for robotics. In data science and statistics, coordinate geometry is used for data visualization. Scatter plots and graphs use coordinate systems to represent and analyze data, which helps in identifying patterns and trends. By understanding coordinate geometry , you’re not just learning math; you’re also gaining tools for understanding and interacting with the world around you. The ability to create, interpret, and manipulate coordinate systems is a valuable skill in many fields, and its applications are constantly evolving with technological advancements. Coordinate geometry is very important to different fields.

Conclusion: Mastering the Fundamentals

So, there you have it, folks! We’ve covered the essentials of coordinate geometry , from points and coordinates to lines and their equations, plus a sneak peek at advanced topics. Remember, the key is to understand the basic concepts and practice applying them. The more you work with coordinate geometry, the more comfortable and confident you’ll become. Keep practicing, and don’t be afraid to ask questions. There are tons of online resources, tutorials, and practice problems to help you along the way. Whether you’re a student, a professional, or just curious about mathematics, understanding coordinate geometry will broaden your problem-solving abilities and give you a new perspective on the world around you. This is an awesome way to see math. Keep learning, keep exploring, and keep having fun with it! Keep practicing, you’ll be a pro in no time! Remember that this is just the beginning. The world of mathematics is vast and interconnected, and coordinate geometry serves as a stepping stone to more advanced and fascinating topics. By solidifying your grasp of the fundamentals, you’re paving the way for future success in your mathematical journey. So, keep up the great work, and enjoy the adventure!