IUS Constitutional Law Textbook PDF: Your Ultimate Guide

F.Radio 102 views
IUS Constitutional Law Textbook PDF: Your Ultimate Guide

IUS Constitutional Law Textbook PDF: Your Ultimate Guide

Hey guys! So, you’re on the hunt for the IUS Constitutional Law Textbook PDF , huh? You’ve landed in the right spot! We’re about to dive deep into what makes a constitutional law textbook a lifesaver, especially when you can snag it in PDF form. Think of this as your friendly guide, breaking down why these resources are so darn important and how you can make the most out of them. We’ll explore the benefits of having a digital copy, what to look for in a good textbook, and why constitutional law itself is such a fascinating field. Let’s get this party started!

Why Constitutional Law Matters, Guys!

First off, why should you even care about constitutional law? It’s the bedrock of our entire legal system, folks! Constitutional law is all about the fundamental principles that govern a country. It outlines the powers and limitations of the government, and crucially, it defines the rights and freedoms of every single citizen. Imagine trying to build a house without a blueprint – that’s kind of what society would be like without a constitution! This field isn’t just for aspiring lawyers or legal scholars; understanding constitutional law gives you insight into how power is structured, how justice is supposed to be served, and how your own rights are protected. It’s about the big picture, the rules of the game that affect everyone, every single day. Whether it’s about freedom of speech, the right to a fair trial, or how elections work, it all stems from constitutional principles. So, when you’re looking for that IUS Constitutional Law Textbook PDF , you’re not just getting a book; you’re unlocking a deeper understanding of the society you live in and your place within it. It’s empowering stuff, really!

The Perks of a PDF: Convenience at Your Fingertips

Now, let’s talk about the PDF format. Why is a PDF version of your IUS Constitutional Law textbook such a game-changer? Convenience, my friends, pure and simple! Gone are the days of lugging around hefty tomes. With a PDF, you’ve got your entire textbook accessible on your laptop, tablet, or even your smartphone. This means you can study on the go, whether you’re commuting, chilling at a coffee shop, or waiting for class to start. Searchability is another massive win. Need to find a specific case, statute, or definition? Just type it into the search bar, and boom – instant results! This saves you a ton of time and frustration compared to flipping through hundreds of pages. Plus, PDFs often allow for highlighting, note-taking, and bookmarking directly within the document, making your study sessions way more interactive and organized. You can easily copy and paste relevant sections (just remember to cite properly, guys!) or share snippets with your study group. And let’s not forget the environmental aspect – going digital means less paper, which is always a good thing. So, when you’re searching for that IUS Constitutional Law Textbook PDF , you’re opting for a modern, efficient, and eco-friendly way to learn.

What to Look For in Your IUS Constitutional Law Textbook

Alright, so you’ve decided you need a textbook, and you’re leaning towards a PDF. Awesome! But what makes a good IUS Constitutional Law Textbook PDF ? It’s not just about the subject matter; it’s about how it’s presented. First off, clarity and comprehensibility are key. A great textbook will break down complex legal concepts into digestible pieces. Look for clear explanations, well-structured arguments, and a logical flow. Case studies and examples are also super important. Constitutional law is often made through landmark court cases, so a textbook that thoroughly analyzes these cases, explains their significance, and provides context is invaluable. You want to see how the law has evolved and been interpreted over time. Another thing to consider is the currency of the information . Laws and interpretations can change, so ensure the textbook covers recent developments and is updated regularly. Nothing’s worse than studying from outdated material, right? Authoritative sourcing and citations are also a must. A reputable textbook will cite its sources meticulously, allowing you to delve deeper into the original texts if needed. Finally, think about the pedagogical features . Does it have helpful summaries, review questions, glossaries, or an index? These elements can significantly enhance your learning experience and make studying much more effective. When you find an IUS Constitutional Law Textbook PDF that ticks these boxes, you’ve struck gold!

Exploring Key Concepts in IUS Constitutional Law

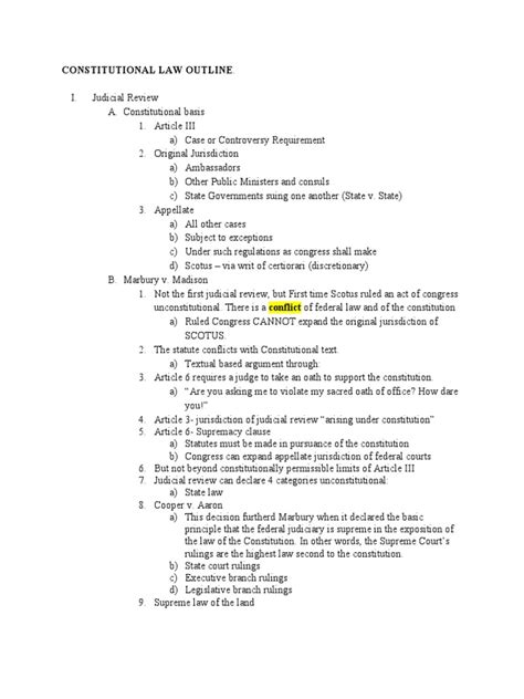
When you dive into an IUS Constitutional Law Textbook PDF , you’ll encounter a wealth of fascinating topics. One of the core areas is judicial review . This is the power of the courts to examine the actions of the legislative and executive branches of government and determine whether those actions are consistent with the constitution. It’s a cornerstone of constitutionalism and a major check on governmental power. You’ll likely spend a lot of time understanding landmark cases that established and shaped judicial review. Another crucial concept is the separation of powers . This principle divides governmental authority among different branches – typically the legislative, executive, and judicial – to prevent any one branch from becoming too powerful. Think of it as a system of checks and balances. Your textbook will explore how this plays out in practice, including the inherent tensions and cooperation between these branches. Federalism , the division of power between a national government and regional governments (like states or provinces), is also a biggie. Understanding how powers are allocated and shared is fundamental to comprehending the structure of many modern states. You’ll learn about enumerated powers, reserved powers, and concurrent powers. And of course, no discussion of constitutional law is complete without delving into fundamental rights and liberties . This includes freedoms like speech, religion, and assembly, as well as rights to due process and equal protection. The textbook will guide you through the interpretation of these rights, the limitations that can be placed upon them, and the ongoing debates surrounding their scope. The IUS Constitutional Law Textbook PDF should offer a comprehensive look at these foundational elements, providing you with the knowledge to navigate complex legal landscapes.

So, you’ve got your hands on that IUS Constitutional Law Textbook PDF . Now what? The key is to approach it strategically. Don’t just passively read; engage with the material! Start by skimming the table of contents and the introduction. This gives you a roadmap of the entire subject and helps you understand how the different topics connect. When you dive into a chapter, read actively. Ask yourself questions : What is the main point the author is trying to make? What are the key cases or statutes discussed? How does this relate to what I’ve already learned? Use the search function in your PDF viewer to quickly locate specific terms or concepts mentioned in lectures or readings. Don’t be afraid to highlight key passages and make notes in the margins (or a separate digital notebook). Summarize complex ideas in your own words – this is a fantastic way to solidify your understanding. If your PDF allows for it, use bookmarks to mark important sections for later review. When you encounter a case, don’t just read the summary; try to understand the facts, the legal issue, the court’s reasoning, and the outcome. This is where the real learning happens. Connect the dots between different cases and concepts. How did one ruling influence another? How does a particular doctrine apply to different situations? Finally, use the textbook as a complement to your lectures and other readings. It should clarify concepts, provide deeper analysis, and offer alternative perspectives. A well-utilized IUS Constitutional Law Textbook PDF is an indispensable tool for mastering this complex field.

Common Challenges and How to Overcome Them

Let’s be real, guys, constitutional law can be challenging. You’ll encounter dense legal jargon, intricate case histories, and abstract principles. But don’t sweat it! The IUS Constitutional Law Textbook PDF is designed to help you through these hurdles. One common challenge is simply understanding the language . Legal texts can be intimidating. The trick here is to build your legal vocabulary. Keep a running list of new terms and their definitions, and actively try to use them. Many textbooks include glossaries, so make sure to utilize those. Another challenge is keeping track of cases . Constitutional law is heavily case-driven. To manage this, create a case brief for each significant case you encounter. Note the parties, facts, issue, rule, analysis, and conclusion (FIRAC method, anyone?). This structured approach helps you distill the essence of each case. Don’t just memorize; understand the reasoning. Abstract concepts can also be tricky. For these, focus on analogies and real-world examples. How does the principle of separation of powers play out in current political debates? How does freedom of speech apply to social media? Connecting abstract ideas to concrete situations makes them much easier to grasp. Finally, information overload is a real threat. Break down the material into manageable chunks. Focus on one topic or chapter at a time. Use study aids like mind maps or flowcharts to visualize the relationships between different concepts and cases. Your PDF format is your friend here – use the search function liberally to revisit specific points. With a systematic approach and the right tools, you can absolutely conquer the challenges presented by constitutional law. The IUS Constitutional Law Textbook PDF is your ally in this quest!

The Future of Constitutional Law and Your Role

As you delve into the IUS Constitutional Law Textbook PDF , you’re not just studying the past and present; you’re engaging with a field that is constantly evolving. Constitutional law is a living document, constantly being reinterpreted and applied to new challenges. Think about the impact of technology on privacy rights, or the evolving understanding of equality in a diverse society. These are the cutting edge issues that constitutional law grapples with today. Understanding these contemporary debates is crucial. Your textbook will likely touch upon these evolving areas, providing the historical and legal context needed to understand them. Your role , as a student and a future citizen, is vital. By mastering constitutional law, you gain the tools to critically assess governmental actions, advocate for your rights, and participate meaningfully in democratic processes. Whether you pursue a legal career or simply aim to be an informed citizen, this knowledge empowers you. The principles enshrined in constitutions are not static; they are debated, contested, and shaped by each generation. The IUS Constitutional Law Textbook PDF is your starting point for understanding these dynamics and perhaps even contributing to the ongoing development of constitutional jurisprudence. So, keep learning, keep questioning, and keep engaging with this incredibly important field. It’s a journey that’s well worth taking, guys!